“Time”-frame usefully divided between short vs. long run analysis
Short run: at least one factor of production is fixed (too costly to change) $$q=f(\bar{k},l)$$

“Time”-frame usefully divided between short vs. long run analysis
Long run: all factors of production are variable (can be changed) $$q=f(k,l)$$

Example: Consider a firm with the production function $$q=k^{0.5}l^{0.5}$$
Example: Consider a firm with the production function $$q=k^{0.5}l^{0.5}$$

The marginal product of an input is the additional output produced by one more unit of that input (holding all other inputs constant)
Like marginal utility
Similar to marginal utilities, I will give you the marginal product equations

Marginal product of labor \((MP_l)\): additional output produced by adding one more unit of labor (holding \(k\) constant) $$MP_l = \frac{\Delta q}{\Delta l}$$
\(MP_l\) is slope of \(TP\) at each value of \(l\)!


Marginal product of capital \((MP_k)\): additional output produced by adding one more unit of capital (holding \(l\) constant) $$MP_k = \frac{\Delta q}{\Delta k}$$
\(MP_k\) is slope of \(TP\) at each value of \(k\)!
Note we don't consider capital in the short run!


Law of Diminishing Returns: adding more of one factor of production holding all others constant will result in successively lower increases in output
In order to increase output, firm will need to increase all factors!


Law of Diminishing Returns: adding more of one factor of production holding all others constant will result in successively lower increases in output
In order to increase output, firm will need to increase all factors!



Average product of labor \((AP_l)\): total output per worker $$AP_l = \frac{q}{l}$$
A measure of labor productivity
Average product of capital \((AP_k)\): total output per unit of capital $$AP_k = \frac{q}{k}$$


$$q=f(k,l)$$
Can build more factories, open more storefronts, rent more space, invest in machines, etc.
So the firm can choose both \(l\) and \(k\)

Based on what we've discussed, we can fill in a constrained optimization model for the firm
The firm's problem is:
Choose: < inputs and output >
In order to maximize: < profits >
Subject to: < technology >

1st Stage: firm's profit maximization problem:
Choose: < output >
In order to maximize: < profits >

1st Stage: firm's profit maximization problem:
Choose: < output >
In order to maximize: < profits >
2nd Stage: firm's cost minimization problem:
Choose: < inputs >
In order to minimize: < cost >
Subject to: < producing the optimal output >

Example: \(q=\sqrt{lk}\)

Many input-combinations yield the same output!
So how does the firm choose the optimal combination?

We can draw an isoquant indicating all combinations of \(l\) and \(k\) that yield the same \(q\)
Combinations above curve yield more output; on a higher curve

We can draw an isoquant indicating all combinations of \(l\) and \(k\) that yield the same \(q\)
Combinations above curve yield more output; on a higher curve
Combinations below the curve yield less output; on a lower curve


If your firm uses fewer workers, how much more capital would it need to produce the same amount?
Marginal Rate of Technical Substitution (MRTS): rate at which firm trades off one input for another to yield same output
Firm's relative value of using \(l\) in production based on its tech:
“We could give up (MRTS) units of k to use 1 more unit of l to produce the same output.”


MRTS is the slope of the isoquant $$MRTS_{l,k}=-\frac{\Delta k}{\Delta l} = \frac{rise}{run}$$
Amount of \(k\) given up for 1 more \(l\)
Note: slope (MRTS) changes along the curve!
Law of diminishing returns!

$$\begin{align*} \underbrace{\frac{\Delta k}{\Delta l}}_{MRTS} &= -\frac{MP_l}{MP_k}\\ \end{align*}$$
See proof in today's class notes
Sound familiar? 🧐

Example: Consider Bank Tellers \((l)\) and ATMs \((k)\)
Suppose 1 ATM can do the work of 2 bank tellers
Perfect substitutes: inputs that can be substituted at same fixed rate and yield same output
\(MRTS_{l,k}=-0.5\) (a constant!)

Example: Consider buses \((k)\) and bus drivers \((l)\)
Must combine together in fixed proportions (1:1)
Perfect complements: inputs must be used together in same fixed proportion to produce output
\(MRTS_{l,k}\): ?

$$q=A \, k^al^b$$
Where \(a, b >0\)
\(A\) is total factor productivity

Example: Suppose a firm has the following production function: $$q=2lk$$
Where its marginal products are:
$$\begin{align*} MP_l&=2k\\ MP_k&=2l\\ \end{align*}$$
Put \(l\) on the horizontal axis and \(k\) on the vertical axis. Write an equation for \(MRTS_{l,k}\).
Would input combinations of \((1, 4)\) and \((2, 2)\) be on the same isoquant?
Sketch a graph of the isoquant from part 2.
If your firm can choose among many input combinations to produce \(q\), which combinations are optimal?
Those combination that are cheapest
Denote prices of each input as:
Let \(C\) be total cost of using inputs \((l,k)\) at market prices \((w,r)\) to produce \(q\) units of output:
$$C(w,r,q)=wl+rk$$

$$wl+rk=C$$
$$wl+rk=C$$
$$k=\frac{C}{r}-\frac{w}{r}l$$

$$wl+rk=C$$
$$k=\frac{C}{r}-\frac{w}{r}l$$

$$wl+rk=C$$
$$k=\frac{C}{r}-\frac{w}{r}l$$

Example: Suppose your firm has a purchasing budget of $50. Market wages are $5/worker-hour and the mark rental rate of capital is $10/machine-hour. Let \(l\) be on the horizontal axis and \(k\) be on the vertical axis.
Write an equation for the isocost line (in graphable form).
Graph the isocost line.

Points on the line are same total cost
Points beneath the line are cheaper (but may produce less)

Points on the line are same total cost
Points beneath the line are cheaper (but may produce less)
Points above the line are more expensive (and may produce more)

Slope: tradeoff between \(l\) and \(k\) at market prices
Relative price of \(l\) or the opportunity cost of \(l\):
Hiring 1 more unit of \(l\) requires giving up \(\left(\frac{w}{r}\right)\) units of \(k\)

Example: An increase in the price of \(l\)


Example: An increase in the price of \(k\)


Keyboard shortcuts
| ↑, ←, Pg Up, k | Go to previous slide |
| ↓, →, Pg Dn, Space, j | Go to next slide |
| Home | Go to first slide |
| End | Go to last slide |
| Number + Return | Go to specific slide |
| b / m / f | Toggle blackout / mirrored / fullscreen mode |
| c | Clone slideshow |
| p | Toggle presenter mode |
| t | Restart the presentation timer |
| ?, h | Toggle this help |
| o | Tile View: Overview of Slides |
| Esc | Back to slideshow |
“Time”-frame usefully divided between short vs. long run analysis
Short run: at least one factor of production is fixed (too costly to change) $$q=f(\bar{k},l)$$

“Time”-frame usefully divided between short vs. long run analysis
Long run: all factors of production are variable (can be changed) $$q=f(k,l)$$

Example: Consider a firm with the production function $$q=k^{0.5}l^{0.5}$$
Example: Consider a firm with the production function $$q=k^{0.5}l^{0.5}$$

The marginal product of an input is the additional output produced by one more unit of that input (holding all other inputs constant)
Like marginal utility
Similar to marginal utilities, I will give you the marginal product equations

Marginal product of labor \((MP_l)\): additional output produced by adding one more unit of labor (holding \(k\) constant) $$MP_l = \frac{\Delta q}{\Delta l}$$
\(MP_l\) is slope of \(TP\) at each value of \(l\)!


Marginal product of capital \((MP_k)\): additional output produced by adding one more unit of capital (holding \(l\) constant) $$MP_k = \frac{\Delta q}{\Delta k}$$
\(MP_k\) is slope of \(TP\) at each value of \(k\)!
Note we don't consider capital in the short run!


Law of Diminishing Returns: adding more of one factor of production holding all others constant will result in successively lower increases in output
In order to increase output, firm will need to increase all factors!


Law of Diminishing Returns: adding more of one factor of production holding all others constant will result in successively lower increases in output
In order to increase output, firm will need to increase all factors!



Average product of labor \((AP_l)\): total output per worker $$AP_l = \frac{q}{l}$$
A measure of labor productivity
Average product of capital \((AP_k)\): total output per unit of capital $$AP_k = \frac{q}{k}$$


$$q=f(k,l)$$
Can build more factories, open more storefronts, rent more space, invest in machines, etc.
So the firm can choose both \(l\) and \(k\)

Based on what we've discussed, we can fill in a constrained optimization model for the firm
The firm's problem is:
Choose: < inputs and output >
In order to maximize: < profits >
Subject to: < technology >

1st Stage: firm's profit maximization problem:
Choose: < output >
In order to maximize: < profits >

1st Stage: firm's profit maximization problem:
Choose: < output >
In order to maximize: < profits >
2nd Stage: firm's cost minimization problem:
Choose: < inputs >
In order to minimize: < cost >
Subject to: < producing the optimal output >

Example: \(q=\sqrt{lk}\)

Many input-combinations yield the same output!
So how does the firm choose the optimal combination?
3-D Production Function
2-D Isoquant Contours


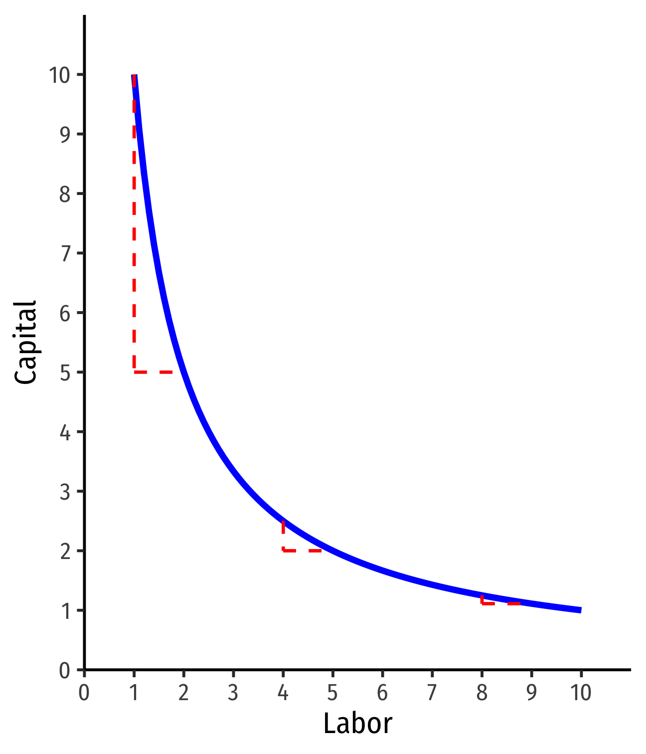
We can draw an isoquant indicating all combinations of \(l\) and \(k\) that yield the same \(q\)
Combinations above curve yield more output; on a higher curve

We can draw an isoquant indicating all combinations of \(l\) and \(k\) that yield the same \(q\)
Combinations above curve yield more output; on a higher curve
Combinations below the curve yield less output; on a lower curve


If your firm uses fewer workers, how much more capital would it need to produce the same amount?
Marginal Rate of Technical Substitution (MRTS): rate at which firm trades off one input for another to yield same output
Firm's relative value of using \(l\) in production based on its tech:
“We could give up (MRTS) units of k to use 1 more unit of l to produce the same output.”


MRTS is the slope of the isoquant $$MRTS_{l,k}=-\frac{\Delta k}{\Delta l} = \frac{rise}{run}$$
Amount of \(k\) given up for 1 more \(l\)
Note: slope (MRTS) changes along the curve!
Law of diminishing returns!

$$\begin{align*} \underbrace{\frac{\Delta k}{\Delta l}}_{MRTS} &= -\frac{MP_l}{MP_k}\\ \end{align*}$$
See proof in today's class notes
Sound familiar? 🧐

Example: Consider Bank Tellers \((l)\) and ATMs \((k)\)
Suppose 1 ATM can do the work of 2 bank tellers
Perfect substitutes: inputs that can be substituted at same fixed rate and yield same output
\(MRTS_{l,k}=-0.5\) (a constant!)

Example: Consider buses \((k)\) and bus drivers \((l)\)
Must combine together in fixed proportions (1:1)
Perfect complements: inputs must be used together in same fixed proportion to produce output
\(MRTS_{l,k}\): ?

$$q=A \, k^al^b$$
Where \(a, b >0\)
\(A\) is total factor productivity

Example: Suppose a firm has the following production function: $$q=2lk$$
Where its marginal products are:
$$\begin{align*} MP_l&=2k\\ MP_k&=2l\\ \end{align*}$$
Put \(l\) on the horizontal axis and \(k\) on the vertical axis. Write an equation for \(MRTS_{l,k}\).
Would input combinations of \((1, 4)\) and \((2, 2)\) be on the same isoquant?
Sketch a graph of the isoquant from part 2.
If your firm can choose among many input combinations to produce \(q\), which combinations are optimal?
Those combination that are cheapest
Denote prices of each input as:
Let \(C\) be total cost of using inputs \((l,k)\) at market prices \((w,r)\) to produce \(q\) units of output:
$$C(w,r,q)=wl+rk$$

$$wl+rk=C$$
$$wl+rk=C$$
$$k=\frac{C}{r}-\frac{w}{r}l$$

$$wl+rk=C$$
$$k=\frac{C}{r}-\frac{w}{r}l$$

$$wl+rk=C$$
$$k=\frac{C}{r}-\frac{w}{r}l$$

Example: Suppose your firm has a purchasing budget of $50. Market wages are $5/worker-hour and the mark rental rate of capital is $10/machine-hour. Let \(l\) be on the horizontal axis and \(k\) be on the vertical axis.
Write an equation for the isocost line (in graphable form).
Graph the isocost line.

Points on the line are same total cost
Points beneath the line are cheaper (but may produce less)

Points on the line are same total cost
Points beneath the line are cheaper (but may produce less)
Points above the line are more expensive (and may produce more)

Slope: tradeoff between \(l\) and \(k\) at market prices
Relative price of \(l\) or the opportunity cost of \(l\):
Hiring 1 more unit of \(l\) requires giving up \(\left(\frac{w}{r}\right)\) units of \(k\)

Example: An increase in the price of \(l\)


Example: An increase in the price of \(k\)

