We now can explore the dynamics of how individuals optimally respond to changes in their constraints
We know the (static) problem is:
Choose: < a consumption bundle >
In order to maximize: < utility >
Subject to: < income and market prices >

$$q_x^D = q_x^D(m, p_x, p_y)$$

$$q_x^D = q_x^D(m, p_x, p_y)$$

$$q_x^D = q_x^D(m, p_x, p_y)$$

$$q_x^D = q_x^D(m, p_x, p_y)$$

$$\frac{\Delta q_D}{\Delta m} >^{?}< 0$$


Consider football tickets and vacation days
Suppose income \((m)\) increases

Consider football tickets and vacation days
Suppose income \((m)\) increases
At new optimum \((B)\), consumes more of both
Then both goods are normal goods


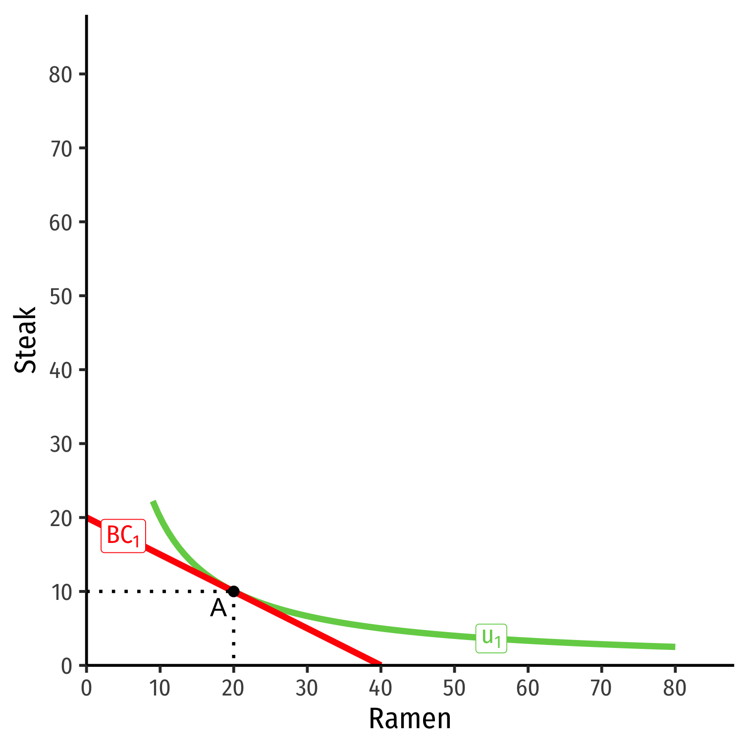
Consider ramen and steak
Suppose income \((m)\) increases

Consider ramen and steak
Suppose income \((m)\) increases
At new optimum \((B)\), consumes more steak, less ramen
Steak is a normal good, ramen is an inferior good

$$\frac{\Delta q_D}{\Delta m} >^{?}< 0$$
Normal goods: consumption increases with more income (and vice versa)
Inferior goods: consumption decreases with more income (and vice versa)

Several ways we can talk about how a measure changes over time, from time \(t_1 \rightarrow t_2\)
Difference \((\Delta)\): the difference between the value at time \(t_1\) and time \(t_2\) $$\Delta t=t_2-t_1$$
Several ways we can talk about how a measure changes over time, from time \(t_1 \rightarrow t_2\)
Difference \((\Delta)\): the difference between the value at time \(t_1\) and time \(t_2\) $$\Delta t=t_2-t_1$$
Relative Difference: the difference expressed in terms of the original value $$\frac{\Delta t}{t_1} = \frac{t_2-t_1}{t_1}$$ this becomes a proportion (a decimal)
$$\begin{align*} \% \Delta &= \frac{\Delta t}{t_1} \times 100\%\\ &=\frac{t_2-t_1}{t_1} \times 100\% \\ \end{align*}$$
Example: A country's GDP is $100bn in 2021, and $120bn in 2022 Calculate the country's GDP growth rate for 2022:
$$\epsilon_{y,x} = \frac{\% \Delta y}{\% \Delta x}=\cfrac{\frac{\Delta y}{y}}{\frac{\Delta x}{x}}$$
$$\epsilon_{y,x} = \frac{\% \Delta y}{\% \Delta x}=\cfrac{\frac{\Delta y}{y}}{\frac{\Delta x}{x}}$$
An elasticity between any two variables \(y\) and \(x\) describes the responsiveness of a variable \((y)\) to a change in another \((x)\).
Interpretation: \(\epsilon_{y,x}=\) the percentage change in \(y\) from a 1% change in \(x\)
$$\epsilon_{y,x} = \frac{\% \Delta y}{\% \Delta x}=\cfrac{\frac{\Delta y}{y}}{\frac{\Delta x}{x}}$$
An elasticity between any two variables \(y\) and \(x\) describes the responsiveness of a variable \((y)\) to a change in another \((x)\).
Interpretation: \(\epsilon_{y,x}=\) the percentage change in \(y\) from a 1% change in \(x\)
Unitless: easy comparisons between any 2 variables
$$\epsilon_{q,m}= \frac{\% \Delta q_D}{\% \Delta m}$$
$$\epsilon_{q,m}= \frac{\% \Delta q_D}{\% \Delta m}$$
$$\epsilon_{q,m}= \frac{\% \Delta q_D}{\% \Delta m}$$
$$\epsilon_{q,m}= \frac{\% \Delta q_D}{\% \Delta m}$$
$$\epsilon_{q,m}= \frac{\% \Delta q_D}{\% \Delta m}$$
$$\frac{\% \Delta q}{\% \Delta m}= \cfrac{\left(\frac{\Delta q}{q_1}\right)}{\left(\frac{\Delta m}{m_1}\right)}$$
Example: You can spend your income on golf and pancakes. Green fees at a local golf course are $10 per round and pancake mix is $2 per box. When your income is $100, you buy 5 boxes of pancake mix and 9 rounds of golf. When your income increases to $120, you buy 10 boxes of pancake mix and 10 rounds of golf.
What type of good is golf (inferior, necessity, luxury)?
What type of good are pancakes (inferior, necessity, or luxury)?
Example: Is the environment a normal good?
Example: Is the environment a normal good?

Example: Is the environment a normal good?

Engel curve visualizes income effects: shows how consumption of one good changes when income increases
When positively sloped: normal good
When negatively sloped: inferior good

$$\frac{\Delta q_x}{\Delta p_y} >^?< 0$$

$$\epsilon_{q_x,p_y}= \frac{\% \Delta q_x}{\% \Delta p_y}$$

$$\epsilon_{q_x,p_y}= \frac{\% \Delta q_x}{\% \Delta p_y} = \cfrac{\frac{\Delta q_x}{q_x}}{\frac{\Delta p_y}{p_y}}$$

$$\epsilon_{q_x,p_y}= \frac{\% \Delta q_x}{\% \Delta p_y}$$
If \(\epsilon_{q_x,p_y}\) is positive: goods \(x\) and \(y\) are substitutes
An rise (fall) in price of \(y\) causes more (less) consumption of \(x\)

$$\epsilon_{q_x,p_y}= \frac{\% \Delta q_x}{\% \Delta p_y}$$
If \(\epsilon_{q_x,p_y}\) is negative: goods \(x\) and \(y\) are complements
Goods \(x\) and \(y\) consumed in a bundle, concern about overall price of bundle
A rise (fall) in price of \(y\) causes less (more) consumption of \(x\)

Example: You can travel into the city every week on Lyft rides and Uber rides. When Lyft is $20/ride, you ride 10 Uber rides. When Lyft raises prices to $25/ride, you ride 15 Uber rides.
What is the relationship between these two goods?
What is the cross-price elasticity?
Keyboard shortcuts
| ↑, ←, Pg Up, k | Go to previous slide |
| ↓, →, Pg Dn, Space, j | Go to next slide |
| Home | Go to first slide |
| End | Go to last slide |
| Number + Return | Go to specific slide |
| b / m / f | Toggle blackout / mirrored / fullscreen mode |
| c | Clone slideshow |
| p | Toggle presenter mode |
| t | Restart the presentation timer |
| ?, h | Toggle this help |
| o | Tile View: Overview of Slides |
| Esc | Back to slideshow |
We now can explore the dynamics of how individuals optimally respond to changes in their constraints
We know the (static) problem is:
Choose: < a consumption bundle >
In order to maximize: < utility >
Subject to: < income and market prices >

$$q_x^D = q_x^D(m, p_x, p_y)$$

$$q_x^D = q_x^D(m, p_x, p_y)$$

$$q_x^D = q_x^D(m, p_x, p_y)$$

$$q_x^D = q_x^D(m, p_x, p_y)$$

$$\frac{\Delta q_D}{\Delta m} >^{?}< 0$$


Consider football tickets and vacation days
Suppose income \((m)\) increases

Consider football tickets and vacation days
Suppose income \((m)\) increases
At new optimum \((B)\), consumes more of both
Then both goods are normal goods


Consider ramen and steak
Suppose income \((m)\) increases

Consider ramen and steak
Suppose income \((m)\) increases
At new optimum \((B)\), consumes more steak, less ramen
Steak is a normal good, ramen is an inferior good

$$\frac{\Delta q_D}{\Delta m} >^{?}< 0$$
Normal goods: consumption increases with more income (and vice versa)
Inferior goods: consumption decreases with more income (and vice versa)

Several ways we can talk about how a measure changes over time, from time \(t_1 \rightarrow t_2\)
Difference \((\Delta)\): the difference between the value at time \(t_1\) and time \(t_2\) $$\Delta t=t_2-t_1$$
Several ways we can talk about how a measure changes over time, from time \(t_1 \rightarrow t_2\)
Difference \((\Delta)\): the difference between the value at time \(t_1\) and time \(t_2\) $$\Delta t=t_2-t_1$$
Relative Difference: the difference expressed in terms of the original value $$\frac{\Delta t}{t_1} = \frac{t_2-t_1}{t_1}$$ this becomes a proportion (a decimal)
$$\begin{align*} \% \Delta &= \frac{\Delta t}{t_1} \times 100\%\\ &=\frac{t_2-t_1}{t_1} \times 100\% \\ \end{align*}$$
Example: A country's GDP is $100bn in 2021, and $120bn in 2022 Calculate the country's GDP growth rate for 2022:
$$\epsilon_{y,x} = \frac{\% \Delta y}{\% \Delta x}=\cfrac{\frac{\Delta y}{y}}{\frac{\Delta x}{x}}$$
$$\epsilon_{y,x} = \frac{\% \Delta y}{\% \Delta x}=\cfrac{\frac{\Delta y}{y}}{\frac{\Delta x}{x}}$$
An elasticity between any two variables \(y\) and \(x\) describes the responsiveness of a variable \((y)\) to a change in another \((x)\).
Interpretation: \(\epsilon_{y,x}=\) the percentage change in \(y\) from a 1% change in \(x\)
$$\epsilon_{y,x} = \frac{\% \Delta y}{\% \Delta x}=\cfrac{\frac{\Delta y}{y}}{\frac{\Delta x}{x}}$$
An elasticity between any two variables \(y\) and \(x\) describes the responsiveness of a variable \((y)\) to a change in another \((x)\).
Interpretation: \(\epsilon_{y,x}=\) the percentage change in \(y\) from a 1% change in \(x\)
Unitless: easy comparisons between any 2 variables
$$\epsilon_{q,m}= \frac{\% \Delta q_D}{\% \Delta m}$$
$$\epsilon_{q,m}= \frac{\% \Delta q_D}{\% \Delta m}$$
$$\epsilon_{q,m}= \frac{\% \Delta q_D}{\% \Delta m}$$
$$\epsilon_{q,m}= \frac{\% \Delta q_D}{\% \Delta m}$$
$$\epsilon_{q,m}= \frac{\% \Delta q_D}{\% \Delta m}$$
$$\frac{\% \Delta q}{\% \Delta m}= \cfrac{\left(\frac{\Delta q}{q_1}\right)}{\left(\frac{\Delta m}{m_1}\right)}$$
Example: You can spend your income on golf and pancakes. Green fees at a local golf course are $10 per round and pancake mix is $2 per box. When your income is $100, you buy 5 boxes of pancake mix and 9 rounds of golf. When your income increases to $120, you buy 10 boxes of pancake mix and 10 rounds of golf.
What type of good is golf (inferior, necessity, luxury)?
What type of good are pancakes (inferior, necessity, or luxury)?
Example: Is the environment a normal good?
Example: Is the environment a normal good?

Example: Is the environment a normal good?

Engel curve visualizes income effects: shows how consumption of one good changes when income increases
When positively sloped: normal good
When negatively sloped: inferior good

$$\frac{\Delta q_x}{\Delta p_y} >^?< 0$$

$$\epsilon_{q_x,p_y}= \frac{\% \Delta q_x}{\% \Delta p_y}$$

$$\epsilon_{q_x,p_y}= \frac{\% \Delta q_x}{\% \Delta p_y} = \cfrac{\frac{\Delta q_x}{q_x}}{\frac{\Delta p_y}{p_y}}$$

$$\epsilon_{q_x,p_y}= \frac{\% \Delta q_x}{\% \Delta p_y}$$
If \(\epsilon_{q_x,p_y}\) is positive: goods \(x\) and \(y\) are substitutes
An rise (fall) in price of \(y\) causes more (less) consumption of \(x\)

$$\epsilon_{q_x,p_y}= \frac{\% \Delta q_x}{\% \Delta p_y}$$
If \(\epsilon_{q_x,p_y}\) is negative: goods \(x\) and \(y\) are complements
Goods \(x\) and \(y\) consumed in a bundle, concern about overall price of bundle
A rise (fall) in price of \(y\) causes less (more) consumption of \(x\)

Example: You can travel into the city every week on Lyft rides and Uber rides. When Lyft is $20/ride, you ride 10 Uber rides. When Lyft raises prices to $25/ride, you ride 15 Uber rides.
What is the relationship between these two goods?
What is the cross-price elasticity?